快捷导航   杭州中考政策指南   2017杭州中考大事记   历年中考分数线   热门中考资讯   中考攻略   历年中考真题及答案   历年中考作文大全   家长课堂   返回首页

您现在的位置:中考杭州站 > 初一年级 > 期末试题 > 数学试题 > 正文

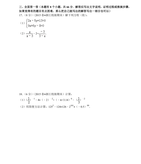
2014-2015学年锦绣育才初一下期末数学试题(3)

来源:家长帮杭州站    作者:中数论    2016-09-26 20:35:13

说两句

  •    2023中考一路陪伴同行,百万名校真题直接下载!>>点击查看

    • 欢迎扫描二维码
      关注中考网微信
      ID:zhongkao_com

    • 欢迎扫描二维码
      关注高考网微信
      ID:www_gaokao_com

    热门推荐

    热门专题

    • 2023中考真题答案专题
    • 2023年全国各省市中考作文题目汇总
    • 2023中考分数线专题

    [2023中考]2023中考查分时间专题

    [2023中考]逐梦前行 未来可期!2023中考特别策划

    杭州中考指南

    杭州中考指南

    2014新学年已经向我们走来,为了帮助广大考生顺利通过中考,杭州中考网编辑团队将杭州中考政策逐一进行深入解读,精心编撰了《杭州中考手册》......[更多]

    阅读收藏

    中考报考

    中考资讯

    中考政策

    志愿填报

    中考体育

    中招计划

    中考分数线

    中考备考

    中考真题

    中考一模

    中考说明

    中考作文

    中考复习

    初中资源

    初中语文

    初中数学

    初中英语

    初中物理

    初中化学

    中学百科

    重点高中

    江南实验

    十一中学

    师大附中

    长河中学

    西湖中学

    浙大附中

    初中试题库

    期中试题

    期末试题

    月考试题

    单元测试

    模拟试题

    中考压轴题

    工具大全

    中考报考时间

    中考分数线

    中考成绩查询

    中考满分作文

    中考志愿填报